Integral Tentu (7)
Integral Tentu
Integral tentu adalah integral yang memiliki nilai batas atas dan batas bawah. Batas-batas yang diberikan umumnya adalah suatu nilai konstanta. Namun dapat juga batas-batas tersebut berupa variabel. Untuk mencari nilai integral tertentu dari suatu fungsi, pertama kita substitusikan batas atas ke dalam fungsi hasil integral, kemudian dikurangi hasil substitusi batas bawah pada fungsi hasil integral.
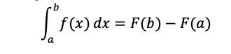
Rumus Integral Tentu :
Keterangan:
f(x) = fungsi yang nantinya akan kita integralkan
f(x) = fungsi yang nantinya akan kita integralkan
d(x) = variabel integral
a = batas bawah pada variabel integral
b = batas atas pada variabel integral
F(a) = nilai integral pada batas bawah
F(b) = nilai integral pada batas atas
a = batas bawah pada variabel integral
b = batas atas pada variabel integral
F(a) = nilai integral pada batas bawah
F(b) = nilai integral pada batas atas
Dari rumus di atas, terdapat beberapa sifat integral tentu yang wajib kamu tahu. Sifat integral tentu ini bakalan ngebantuin kamu buat nyederhanain persoalan yang lagi kamu kerjain. Berikut beberapa sifat integral tentu.
Contoh Soal :
1. Hitunglah hasil dari integral tentu berikut ini



Komentar
Posting Komentar