Menghitung Volume Benda Pejal (9)
Benda putar yang sederhana dapat kita ambil contoh adalah tabung dengan besar volume adalah hasilkali luas alas ( luas lingkaran ) dan tinggi tabung. Volume dari benda putar secara umum dapat dihitung dari hasilkali antara luas alas dan tinggi. Bila luas alas kita nyatakan dengan A(x) dan tinggi benda putar adalah panjang selang [ a,b ] maka volume benda putar dapat dihitung menggunakan integral tentu sebagai berikut :
Untuk mendapatkan volume benda putar yang terjadi karena suatu daerah diputar terhadap suatu sumbu, dilakukan dengan menggunakan dua buah metode yaitu metode cakram dan kulit tabung.
Volume Benda Pejal di Ruang; Metode Cincin
Bila Suatu daerah D diputar mengelilingi sebuah sumbu, maka akan diperoleh suatu benda putar. Bagaimana Cara menghitung volumenya?
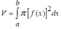
Misal daerah dibatasi oleh y = f(x), y = 0, x = a dan x = b diputar dengan sumbu putar sumbu X. Volume benda pejal/padat yang terjadi dapat dihitung dengan memandang bahwa volume benda padat tersebut merupakan jumlah tak berhingga cakram yang berpusat di titik-titik pada selang [a,b]. Misal pusat cakram ( xo,0 ) dan jari-jari r = f(xo). Maka luas cakram dinyatakan : A( xo ) = π f2 (xo). Oleh karena itu, volume benda putar :
Sedang bila grafik fungsi dinyatakan dengan x = w(y), x = 0, y = c dan y = d diputar mengelilingi sumbu Y maka volume benda putar :Bila daerah yang dibatasi oleh y = f(x) ≥ 0 , y = g(x) ≥ 0 { f(x) ≥ g(x) untuk setiap x є [a,b] }, x = a dan x = b diputar dengan sumbu putar sumbu X maka volume :
Bila daerah yang dibatasi oleh x = w(y) ≥ 0 , x = v(y) ≥ 0 { w(y) ≥ v(y) untuk setiap y є [ c,d ] }, y = c dan y = d diputar dengan sumbu putar sumbu Y maka volume :







Komentar
Posting Komentar